合作客戶/
拜耳公司 |
同濟大學 |
聯合大學 |
美國保潔 |
美國強生 |
瑞士羅氏 |
相關新聞Info
推薦新聞Info
-
> 電場電壓對明膠液滴荷質比、表面張力的影響及預測模型構建(三)
> 電場電壓對明膠液滴荷質比、表面張力的影響及預測模型構建(二)
> 電場電壓對明膠液滴荷質比、表面張力的影響及預測模型構建(一)
> 破解固態電池界面之困:表面張力調控SiO?氣凝膠電解質原位構筑新策略
> 聯結基對磺酸鹽型雙子表面活性劑界面行為及泡沫穩定性的作用機制(三)
> 聯結基對磺酸鹽型雙子表面活性劑界面行為及泡沫穩定性的作用機制(二)
> 聯結基對磺酸鹽型雙子表面活性劑界面行為及泡沫穩定性的作用機制(一)
> 基于座滴法研究化學組成對無堿鋁硼硅玻璃表面張力的影響(三)
> 基于座滴法研究化學組成對無堿鋁硼硅玻璃表面張力的影響(二)
> 基于座滴法研究化學組成對無堿鋁硼硅玻璃表面張力的影響(一)
探索泡沫粗化與表面流變學之間的關聯性疏水性蛋白——摘要、介紹
來源:上海謂載 瀏覽 1856 次 發布時間:2021-11-25
摘要
為什么狂犬病如此不同?為了理解這一點,我們在這里比較了疏水蛋白HFBII、奎拉葉皂苷、b-乳球蛋白或b-酪蛋白制成的泡沫的穩定性。我們的實驗設計消除了聚結和奶油化的影響,使我們能夠主要研究奧斯特瓦爾德成熟。我們觀察到,在HFBII泡沫中,歧化被有效地阻止,并且氣泡大小在實驗期間幾乎保持不變。我們用小變形和大變形表面膨脹和剪切流變實驗研究的吸附層表面流變特性的巨大差異來解釋這一點。在低表面覆蓋率下,我們將系統行為映射到具有類似膨脹模量與表面壓力依賴性的等效2D聚合物網絡,從而允許我們引入等效分子“硬度”。這種比較表明,即使在低表面覆蓋率下,與其他系統相比,HFBII分子在界面上表現為更硬的實體。我們在高表面覆蓋率下發現了類似的行為,HFBII層可以在界面處形成微觀褶皺。在較大的表面變形下,HFBII膨脹模量在更大的表面壓力范圍內幾乎單調增加,并且與其他三種系統相比,達到了更高的模量。這些觀察結果與觀察到的泡沫行為差異密切相關。
介紹
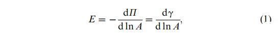
對于許多工業應用,充氣液體產品的長期穩定性仍然是一個重大挑戰。1影響泡沫穩定性的主要因素是泡間聚結、液體排放和歧化或奧斯特瓦爾德成熟。前兩種可以使用常規乳化劑和增稠劑進行控制,它們提供適當的表面覆蓋率、薄膜穩定性和足夠的整體流變性。然而,阻止Ostwald在液體泡沫中熟化更為困難,因為大多數用于發泡的食品級氣體具有足夠的水溶性,并且會在數小時內從小氣泡擴散到大氣泡。這會導致泡沫粗化,從而進一步增強乳脂化、聚結,最終導致氣體完全損失。減緩歧化有三種主要策略:(i)固化連續相,(ii)使用較少的可溶性氣體或(iii)使用能夠產生高彈性界面的乳化劑,其可以抵抗氣泡歧化應力和/或降低界面氣體滲透率。膠凝或固化連續相是一種解決方案,用于克服許多食品(如面包、2,3冰淇淋、4摩絲等)中的泡沫粗化,但在許多其他情況下,這不是一種選擇,因為它會導致不必要的結構變化。使用高不溶性氣體或可溶性和不溶性氣體的混合物是(部分)抑制歧化的另一種潛在策略。然而,可用于食品工業的氣體(二氧化碳、一氧化二氮、氮氣等)具有足夠的溶解性,使得這種方法在考慮周和月的保質期時不可行。最后一種選擇是設計氣泡表面,使其足夠堅固以承受表面應力,由小氣泡和大氣泡之間的氣體化學勢差異引起。1根據歧化與氣泡表面積A的變化內在相關的事實,可以估算所需的界面強度,而氣泡表面積A的變化又與表面張力g或表面壓力Ⅱ相關(Ⅱ=γ0-γ,其中γ0是裸露界面的表面張力)。這些參數用于推導吉布斯準則,5該準則預測,如果膨脹模量定義為
大于表面張力的一半,即e>γ/2。 然而,有許多實驗研究,系統遵循該標準,其中泡沫不穩定,不利于歧化。 6–12主要原因是吉布斯標準對系統的有效性有限,其中:(i)界面對表面變形表現出純彈性響應; 5–9許多這些限制在一系列新模型中得到了解決。 8–13然而,這些改進的標準是非分析性的,作為其他參數的輸入,它們需要各種表面參數, 它們的值通常取自小變形、準平衡界面測量。 然而,測量表面張力和膨脹模量的條件可能與泡沫-氣泡-空氣/水界面處的條件顯著不同,因為歧化引起的收縮/膨脹是一個相對緩慢、非平衡的大變形過程。 然而,有許多實驗研究,系統遵循該標準,其中泡沫不穩定,不利于歧化。6–12主要原因是吉布斯標準對系統的有效性有限,其中:(i)界面對表面變形表現出純彈性響應;(ii)空氣/水(a/w)界面的壓差符合拉普拉斯定律;(iii)忽略了體積流變學貢獻;(iv)氣泡幾乎是單分散的,(v)可以認為泡沫是無限的,因此可以忽略壁面效應。5–9許多這些限制在一系列新模型中得到了解決。8–13然而,這些改進的標準是非分析性的,作為其他參數的輸入,它們需要各種表面參數,例如吉布斯彈性、表面張力等。它們的值通常取自小變形、準平衡界面測量。然而,測量表面張力和膨脹模量的條件可能與泡沫-氣泡-空氣/水界面處的條件顯著不同,因為歧化引起的收縮/膨脹是一個相對緩慢、非平衡的大變形過程。
在真正的泡沫中,歧化作用于其他泡沫失穩過程,如排水和聚結,這些過程通常更快或最好是在相同的時間范圍內。 避免此問題的一種方法是測量表面以下單個氣泡的收縮率。13然而,缺點是排除了集體效應和氣泡尺寸效應。
為了消除上述一些因素并更好地了解主要影響因素,我們決定(1)研究實際泡沫中歧化的影響; (2) 排水和聚結的解耦效應; (3) 研究具有更寬穩定性范圍的泡沫和(4)測量空氣/水界面上單個(吸附或擴散)單層的小變形和大變形膨脹表面流變性,并嘗試將其與實驗泡沫歧化數據關聯。
表面活性材料的選擇
從實用的角度來看,尋找表面活性材料是一項具有挑戰性的任務,這些材料(i)能夠快速吸附在界面上,提供良好的起泡性和穩定性,防止早期氣泡聚結,以及(ii) 可被強烈壓縮,不會發生層坍塌或從界面解吸,以提供足夠的穩定性,防止歧化。 因此,近年來,一系列新型且有前途的(天然)乳化劑引起了人們的關注。 這些包括frog14和疏水蛋白15、肺表面活性劑、16種天然乳化劑(如皂甙17)以及使用各種食品級18、19和非食品級材料制成的顆粒。20
在本文中,我們將重點研究兩種分子穩定劑,即HFBII疏水蛋白和Quillaja皂甙的起泡行為,并將其與更為知名的乳蛋白(如b-乳球蛋白和b-酪蛋白)進行比較。 我們研究了泡沫抗歧化的穩定性,并將其與非平衡、大變形、表面膨脹流變學和表面剪切流變學聯系起來。 所選材料的范圍代表了各種各樣的粗化時間,因此適合與歧化穩定性進行比較。 因此,我們將不討論抗聚結的起泡性和穩定性以及它們與吸附動力學的關系。
狂犬病
疏水蛋白是絲狀真菌產生的一類具有高度表面活性的蛋白質。 它們的生物學功能是介導(氣生)菌絲、孢子和子實體的形成,在此過程中,親水和疏水環境(即細胞材料和空氣)之間形成一個大界面。21
疏水蛋白由100±25個氨基酸組成,具有8個半胱氨酸殘基的特征模式,形成4個分子內二硫鍵,15使蛋白質分子非常緊密和剛性。 疏水蛋白的三級結構顯示出明顯的疏水區和親水區。22–24根據其水溶性和親水模式,疏水蛋白可分為兩類。23 I類疏水蛋白相對不溶于水,而II類疏水蛋白表現出良好的水溶性。
對于II類疏水蛋白,HFBII是小分子量(7.2 kDa)和4個二硫鍵的獨特組合,可防止疏水部分重排到蛋白質核心,并使其暴露于周圍介質中。 因此,在水環境中,HFBII表現為天然Janus粒子,23具有不同的親水性和疏水性表面補丁,從而導致不同的兩親性行為。 最近,Cox等人對HFBII的表面性質進行了研究,25并用于解釋簡單氣泡團中極低的空氣溶解速率。 在后續工作中,Cox等人26證明HFBII可用于生產液體泡沫,這些泡沫不會變粗,并且在幾個月內保持穩定。 這種泡沫的特殊穩定性與其他蛋白質穩定的泡沫的低穩定性形成鮮明對比。
皂甙
皂甙是一類天然表面活性化合物,大量存在于植物物種中,具有獨特的親水性糖苷(乙二醇)部分和疏水性(苷元)部分。27疏水性部分通常為甾體或萜類。 Quillaja皂甙是三萜苷,從磨碎的內樹皮或修剪過的莖和樹枝的木材中提取得到。 除乳化性能外,它們還表現出優異的發泡性能,但目前尚未對其進行系統的研究和探索。
探索泡沫粗化與表面流變學之間的關聯性疏水性蛋白——摘要、介紹
探索泡沫粗化與表面流變學之間的關聯性疏水性蛋白——材料和方法
探索泡沫粗化與表面流變學之間的關聯性疏水性蛋白——結果和討論
探索泡沫粗化與表面流變學之間的關聯性疏水性蛋白——結論、致謝!





